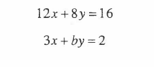
For which of the following values of b would the system of equations below have no solutions?


ACT® is a registered trademark of ACT, Inc., which is not affiliated with Lucid Prep and was not involved in the production of, and does not endorse, this product or services.
SAT® is a registered trademark of the College Board, which is not affiliated with Lucid Prep and was not involved in the production of, and does not endorse, this product or services.
The Armed Services Vocational Aptitude Battery (ASVAB®) is a registered trademark of the United States Military Entrance Processing Command , which is not affiliated with Lucid Prep.